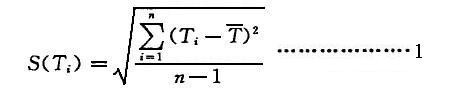
高低温试验箱测试后,对一组修正后的测试数据的某个极大或极小值有怀疑时,应利用专业知识找出原因,在未判明它是否合理前,既不要轻易保留,也不要随意剔除,可用下述方法判别,决定取舍。 一、利用式1、式2算出数据的平均值及单次测得值的标准偏差:

式中: Ti----第i次测量值,单位为摄氏度(℃); T-----温度平均值,单位为摄氏度(℃); S(Ti)-----单次测得值的标准偏差,单位为摄氏度(℃); n-----测量次数。 二、求格拉布斯准则计算统计量:

式中: T(a)-----测量数据的极大值式极小值,单位为摄氏度(℃); 三、对于本标准,取显著水平a=0.01,临界值G99(n)为: n=30时,G99(n)=3.103; n=29时,G99(n)=3.085; n=28时,G99(n)=3.068; n=27时,G99(n)=3.049; 高低温试验箱当|G(n)| >G99(n)时,则舍去该T(a)值,并重新按式1、式2计算剩下数值的平均值及标准偏差和G(n),按本法检验直到无可疑数据为止。
|